مورفين: الفرق بين النسختين
لا ملخص تعديل |
|||
| سطر 1: | سطر 1: | ||
'''المورفين ''' | |||
== لمحة == | |||
المورفين (باللغة الانجليزية:Morphine)هو دواء قوي مسكن للألم ينتمى لمجموعة الاوبيات و هو المادة الفعالة الأساسية فى نبات | [[ملف:Khashkhash.jpg|تصغير|نبتة الخشخاش]] | ||
المورفين (باللغة الانجليزية:Morphine)هو دواء قوي مسكن للألم ينتمى لمجموعة الاوبيات و هو المادة الفعالة الأساسية فى نبات ال[[أفيون]] (Papaver somniferum) | |||
أول مرة استخلص المورفين كانت في سنة 1803م من نبات الخشخاش في ألمانيا على يد الصيدلاني الألماني فريدريك سيرتورنر والذي سماه تيمناً بإله الأحلام مورفيوس.. | أول مرة استخلص المورفين كانت في سنة 1803م من نبات الخشخاش في ألمانيا على يد الصيدلاني الألماني فريدريك سيرتورنر والذي سماه تيمناً بإله الأحلام مورفيوس.. | ||
المورفين كبقية مجموعة الاوبيات (ال[[كودايين]] و ال[[هيروئين]] و ال[[اوكسيكودون]] و ال[[بيثيدين]] و ال[[فينتانيل]]) يعمل مباشرة على الجهاز العصبى المركزى لتسكين الألم. | |||
== | [[ملف: Morphine.jpg|تصغير]] | ||
== الخواص الفيزيائية == | |||
مادة بيضاء اللون تميل إلى الصفرة قليلاً، مرة المذاق ليس لها رائحة، تعبأ في أمبولات زجاجة في صورة سائل، استخدامه محصور دولياً وقانونياً في المجال الطبي فقط، استخدامه خارج عن هذا المجال يسبب الإدمان في أيام معدودة . | |||
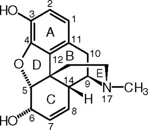
== التركيب الكيميائي == | |||
[[ملف: Morphine structure.jpg]] | |||
C17H19NO3 | |||
إن الحلقة السداسية العليا الحاوية على جذر OH مشتقة من الحمض الأميني التيروزين وهي الجزء الذي يتوضع على المستقبلات الدماغية ، لذلك عند زراعة الخشخاش يتم إضافة الحمض الأميني التيروزين إلى التربة فنلاحظ ازدياد نسبة المورفين في النبات. | |||
== استعمالاته == | |||
*يستعمل في تخفيف الوجع المزمن. | |||
*كمساعد في التخدير الكلي والنصفي. | |||
*في حالة السعلة الناشفة الشديدة . | |||
*مضاد للاسهال في الحالات المزمنة (كالإسهال المرتبط بمرض ال ايدز ). | |||
*لا يجب استخدام المورفين كمسكن في حالات الولادة حيث انه يعبر المشيمة مما يؤدى إلى اختناق الجنين Neonatal Asphyxia. | |||
==الأعراض الجانبية== | |||
الإدمان النفسي و الإدمان الجسدي. | #ال[[إمساك]]: وذلك لأنه يبطئ الحركة الدودية في الأمعاء. | ||
#ال[[إدمان]]: الإدمان النفسي و الإدمان الجسدي. | |||
#تهبيط الجهاز التنفسي: وهذا أخطر مايمكن أن يحصل مسبباً الموت في حال أخذ الجرعة العالية ، تنخفض سرعة التنفس ويحدث إغماء ثم الموت خنقاً، من علامات هبوط التنفس :صغر بؤبؤ العين ليصبح بحجم رأس الدبوس. | |||
==الجرعة== | |||
يمكن إعطاء المورفين فموياً ك[[شراب دوائي|شراب]] و[[قرص دوائي|أقراص]] و[[كبسولة (صيدلة)|كبسولات]] ، وممكن أن يعطى [[حقن]]اً، والجرعة تختلف على حسب الحالة ولكن بشكل عام فإن الزيادة عم 70 ملغ في الأسبوع تؤدي إلى الإدمان . | |||
يمكن إعطاء المورفين | |||
بشكل عام فإن الزيادة عم 70 ملغ في الأسبوع تؤدي إلى الإدمان . | |||
==المرجع== | |||
-ويكيبيديا. | |||
-كتاب العقاقير للدكتور سمير النوري. | |||
{{بذرة}} | |||
{{مسكنات}} | |||
{{أفيونات}} | |||
[[تصنيف:أدوية]] | |||
[[تصنيف:موسوعة الأدوية]] | |||
[[تصنيف:مسكنات]] | |||
[[تصنيف:أفيونات]] | |||
مراجعة 19:26، 23 سبتمبر 2012
المورفين
لمحة

المورفين (باللغة الانجليزية:Morphine)هو دواء قوي مسكن للألم ينتمى لمجموعة الاوبيات و هو المادة الفعالة الأساسية فى نبات الأفيون (Papaver somniferum)
أول مرة استخلص المورفين كانت في سنة 1803م من نبات الخشخاش في ألمانيا على يد الصيدلاني الألماني فريدريك سيرتورنر والذي سماه تيمناً بإله الأحلام مورفيوس..
المورفين كبقية مجموعة الاوبيات (الكودايين و الهيروئين و الاوكسيكودون و البيثيدين و الفينتانيل) يعمل مباشرة على الجهاز العصبى المركزى لتسكين الألم.

الخواص الفيزيائية
مادة بيضاء اللون تميل إلى الصفرة قليلاً، مرة المذاق ليس لها رائحة، تعبأ في أمبولات زجاجة في صورة سائل، استخدامه محصور دولياً وقانونياً في المجال الطبي فقط، استخدامه خارج عن هذا المجال يسبب الإدمان في أيام معدودة .
التركيب الكيميائي
إن الحلقة السداسية العليا الحاوية على جذر OH مشتقة من الحمض الأميني التيروزين وهي الجزء الذي يتوضع على المستقبلات الدماغية ، لذلك عند زراعة الخشخاش يتم إضافة الحمض الأميني التيروزين إلى التربة فنلاحظ ازدياد نسبة المورفين في النبات.
استعمالاته
- يستعمل في تخفيف الوجع المزمن.
- كمساعد في التخدير الكلي والنصفي.
- في حالة السعلة الناشفة الشديدة .
- مضاد للاسهال في الحالات المزمنة (كالإسهال المرتبط بمرض ال ايدز ).
- لا يجب استخدام المورفين كمسكن في حالات الولادة حيث انه يعبر المشيمة مما يؤدى إلى اختناق الجنين Neonatal Asphyxia.
الأعراض الجانبية
- الإمساك: وذلك لأنه يبطئ الحركة الدودية في الأمعاء.
- الإدمان: الإدمان النفسي و الإدمان الجسدي.
- تهبيط الجهاز التنفسي: وهذا أخطر مايمكن أن يحصل مسبباً الموت في حال أخذ الجرعة العالية ، تنخفض سرعة التنفس ويحدث إغماء ثم الموت خنقاً، من علامات هبوط التنفس :صغر بؤبؤ العين ليصبح بحجم رأس الدبوس.
الجرعة
يمكن إعطاء المورفين فموياً كشراب وأقراص وكبسولات ، وممكن أن يعطى حقناً، والجرعة تختلف على حسب الحالة ولكن بشكل عام فإن الزيادة عم 70 ملغ في الأسبوع تؤدي إلى الإدمان .
المرجع
-ويكيبيديا.
-كتاب العقاقير للدكتور سمير النوري.
