بينيميبيسايكلين
اذهب إلى التنقل
اذهب إلى البحث
| Clinical data | |
|---|---|
| Pregnancy cat. | ? |
| Legal status | ? |
| Routes | Oral, intramuscular |
| Identifiers | |
| CAS number | 4599-60-4 |
| ATC code | J01AA10 |
| PubChem | CID 5464323 |
| ChemSpider | 16736440 |
| KEGG | D07233 |
| ChEBI | CHEBI:75258 |
| Chemical data | |
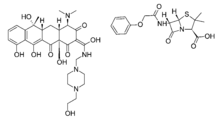
| Formula | C45H56N6O14S |
| Mol. mass | 937.024 g/mol |
| |
| |
| | |
Penimepicycline المعروف أيضا باسم penicillinate mepicycline) هو مضاد حيوي من زمرة التتراسكلينات. هو ملح phenoxymethylpenicillinate للمضاد الحيوي من زمرة التتراسيكلين الpipacycline.
الصيغة الكيميائية
C 45 H 56 N 6 O 14 S
الصفات الفيزيائية
مسحوق أبيض مصفر, له طعم مر قليلا. حساس للضور والهواء والحرارة.منحل في الماء.
