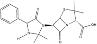
هيتاسيللين
اذهب إلى التنقل
اذهب إلى البحث

هيتاسيلين هو بيتا لاكتام. هيتاسيلين هو طليعة دواء وليس لديها أي فعالية أساسية ضد الجراثيم، ويتم تحويله من قبل الجسم إلى أمبيسلين، التي تنشط ضد مجموعة متنوعة من العضويات الدقيقة.
الإعطاء
يعطى الهيتاسيلين فمويا.على شكل ملح بوتاسيوم، هيتاسيلين البوتاسيوم، ويعطى بواسطة الحقن ، إما عن طريق الوريد أو العضل.
تمت إزالة هيتاسيلين من السوق للاستخدام البشري عندما تم اكتشاف أنه يتحول في الجهاز الهضمي إلى الفورمالديهايد وليس لديه اي فائدة في المشتقات غير الاسترية (أي أمبيسيلين).