كلوميتوسيللين
اذهب إلى التنقل
اذهب إلى البحث

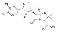
كلوميتوسيللين Clometocillin أو كلوميتاسيللين clometacillin
الزمرة الدوائية
صاد حيوي من زمرة البنسلينات. من الصادات الحساسة للبيتالاكتاماز.
الاسم العلمي وفقاً لـIUPAC
(2S,5R,6R)-6-([2-(3,4-dichlorophenyl)-2-methoxyacetyl]amino)-3,3-dimethyl-7-oxo-4-thia-1-azabicyclo[3.2.0]heptane-2-carboxylic acid
الصيغة الكيميائية
C17H18Cl2N2O5S
الوزن الجزيئي
433.30622 غ/مول
آليته
منع تركيب الجدار الخلوي الجرثومي.
مصادر
- ويكيبديا الإنكليزية.