بيريميدين
اذهب إلى التنقل
اذهب إلى البحث
البيريميدين
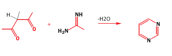
تحضير الـPyrimidine
من تفا عل حلقنة Cyclization وليس إدخال N على البيريدين مثلاً
يكون التبادل النكليوفيلي سهلاً على هذه الحلقات بفضل المزدوج الالكتروني لـ 2N.
