بيريدين
البيريدين حلقة سداسية عطرية مستوية Flat وهو يشبه البنزن لكن حذفنا كربون واحد ووضعنا بدله نتروجين، زواياه 120،هو سائل له رائحة سيئة جداً جداً، سام ويمكن أن يكون مسرطن يجب تجنبه غالباً نقوم بتفاعلات على البيريدين المستبدل أما البسيط يستخدم كمحل.
التحضير
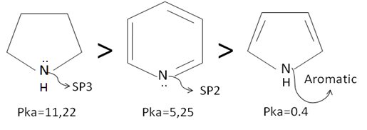
يستحصل البيريدين من قطران الفحم الحجري . ذرة النتروجين تهجينها SP2 والزوج الالكتروني حرّ لايشارك في النظام العطري لذلك فهو أساس قوي(أقوى من البيرول لكن ليس أقوى من البيروليدين.
وهذه المقارنة بين البيرول والبيريدين والبيروليدين:
لماذا البيروليدين أكثر قلوية من البيريدين رغم أن الاثنين لديهما مزدج إلكتروني حرّ؟
بسبب اختلاف نمط التهجين لـ N ففي البيريدين تهجين N هو SP2 أما في البروليدين تهجين N هو SP3 وكما نعلم أن SP2 تشدّ أو تتمسك بإلكتروناتها أكثر من SP3 وبالتالي لن تمنح SP2 مزدوجها بسهولة منح SP3 لمزدوجها لذلك فهي أكثر أساسية.
التفاعلات الكيميائية
حلقة البيريدين البسيطة (لا تملك متبادلات) خاملة أو ضعيفة التفاعل أي لا تتم تفاعلات التبادل الالكتروفيلي إلا بشروط قاسية ومثالية( مثلاً حرارة مرتفعة تزيد الطاقة وتفرض على المركب التفاعل) والمردود يختلف من تفاعل إلى تفاعل وقليل نسبياً لأن المتفاعل سوف يتجه نحو N بدل اتجاهه نحو الحلقة بسبب مزدوج N . وفي حال حدوث التفاعل على الحلقة سوف يحصل بالموقع 3 حصراً وتم الاستفادة من البيريدين (تفاعلاته خاملة أو صعبة) باستخدامه كمحل لا يتفاعل مع المواد المتفاعلة.
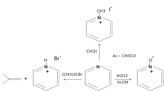
و هذه بعض التفاعلات التي تحدث على النتروجين:
الأكسدة
الهدرجة
إشباع البيريدين يتشكل لدينا مركب مشبع هو البيبريدين Piperidine ويتحول شكله إلى كرسي (لم تعد مستوية)
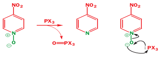
النترجة
كيف نقوم بعملية النترجة لنحصل على مردود أعلى (أو غيرها)؟ (طريقة غير مباشرة)
i.إعاقة ذرة النتروجين Blocking وذلك بمفاعلتها بمادة أخرى (كي لا تتجه المواد المتفاعلة نحوها)
ii.بماأن الحلقة <unreactive> نفعل الحلقة بإضافة متبادل غني بالإلكترونات (أفضلها الأكسجين) حيث تتوزع الإلكترونات الحرة حول الحلقة فيتفاعل بسهولة(حالة عدم توضع) على أن نكون قادرين على حذف المجموعة بعد انتهاء التفاعل.
ونلاحظ أنه بالأكسدة على ذرة النتروجين يتشكل N-oxide وهو stable dipolar (مركبات ثابتة والرابطة قطبية وهذه المركبات فعالة للتبادل الالكتروفيلي والنوكليوفيلي), وبالتالي أغلقنا ذرة الأزوت ومنعناها من الارتباط بالمتبادلات الالكتروفيليةكما أصبحت الالكترونات غير متوضعة وتميل للتفاعل ....
علماً أن بهذه الطريقة غيرالمباشرة: المتبادل سوف يرتبط إما بـ 2 أو 4 (غالباً(4 أما المباشر كان بالموقع 3
[[ملف:]Pp.png]
ولنزع الأوكسجين من ذرة النتروجين نضيف المركبات PX3 ومثالها PCl3 وبالتالي نحصل على المركب المطلوب بنسبة عالية.
التبادل النكليوفيلي
التفاعلات النكليوفيلية تتم بسهولة عكس الإلكتروفيلية سواءً على البسيط أو الذي يحوي متبادلات إلا أننا نقوم بها عادة على مشتقات البيريدين (المستبدل)
التبادل الالكتروفيلي يحدث (2 أو 4 )
التفاعل مع NaNH2
بعض مشتقات البيريدين
i.ميتيل البيريدين(البيكولين Methyl-pyridine (Picoline ممكن في أي من المواقع (2,3,4)
ii.هيدروكسي البيريدين ممكن في أي من المواقع (2,3,4),من مشتقات الـHydroxypyridine:
من مشتقاته الـPyridoxal والـPyridoxal phosphate والمركب الأخير هو الـCo-Enzyme الهام جداً في العمليات الحيوية في الجسم.
iii.حمض البيريديل الكربوكسيلي Pyridyl Carboxylic acid:










