كينولين
كينولين وهي نواة بنزن+بيريدين (ملتحمتين)...........ونميز وفقاً لطريقة ارتباطهما: -إما أن تكون N مجاورة مباشرة للبنزن عندها يكون رقمها 1والمركب هو Quinoline
-أو أن يكون بين الـ N والبنزن ذرة كربون ويصبح هنا رقم N هو 2والمركب هو الـ Isoquinoline.(أي الترقيم لم يتغير إما N1 أو N2)
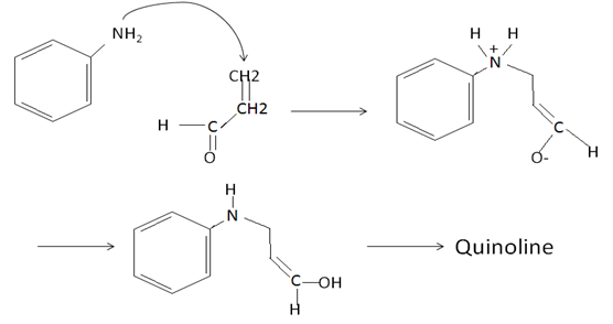
التحضير
لا يحضر بدمج بنزن مع البيريدين وإنما بعملية الحلقنة Cyclization من الأنيلين مع مركب كيتوني يحتوي على مجموعة ميتلينية
التفاعلات الكيميائية
تفاعل التبادل الإلكتروفيلي يفضل البنزن (أي يحدث على حلقة البنزن)، في حين يحدث التفاعل النكليوفيلي على حلقة البيريدين.
التبادل الالكتروفيلي
يحدث على حلقة البنزن في الموقعين 5أو8 لينتج معنا مزيج من كليهما تختلف نسبته من تفاعل لأخر تعطي نترجة الكينولين مزيج من منتجين هما 5نتروكينولين (90%) و8 نتروكينولين (10%) بينما لاحظوا البرومة.
ملاحظة: إذا أردنا أن تحصل النترجة على البيريدين نستخدم نفس طريقة نترجة البيريدين N-Oxide.
الأكسدة
تحدث الأكسدة العنيفة (القوية)على الحلقة الأغنى بالإلكترونات وهي حلقة البنزن ومن ثم تفكك هذه الحلقة تاركة حلقة البيريدين مع مجموعتين كربوكسيليتين على الموقعين 2، 3.
الأكسدة تخرب البنزن وليس البيريدين وتعطي مركب ثنائي الكربوكسيل
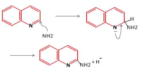
التبادل النوكليوفيلي
يفضل التبادل النوكليوفيلي البيريدين في الموقع 2





