إيميدازول
(بالتحويل من Imidazole)
اذهب إلى التنقل
اذهب إلى البحث
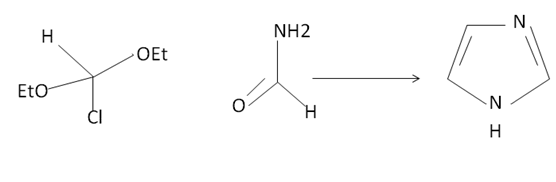
الإيميدازول عبارة عن حلقنة وليس إدخال N ضمن بيرول ,ابتداء من مركب هالوجيني ومركب كربونيلي يعطيان حلقة (مو ضروري التفاعل فقط معرفة أنه تشكل بالحلقنة):
الإيميدازول شائع وجوده في الأدوية كمجموعة فعالة, وهو يحوي ذرتين نتروجين أحدهما تشبه البيرول(أي تشارك في النظام العطري ولتكن A)و الأخرى تشبه البيريدين (لا تشارك في النظام العطري ولتكن B) لاحظ الشكل التالي
الإيميدازول أكثر أساسية من البيرول والبيريدين ولكنه أقل أساسية من البيروليدين بسبب ذرتي النتروجين.

